• Предмет: Алгебра
  • Автор: Аноним
  • Вопрос задан 8 лет назад

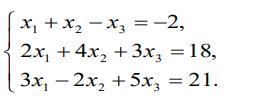
Решить систему линейных уравнений матричным методом (используя обратную матрицу)

Приложения:

Ответы

Ответ дал: NNNLLL54
2

Ответ .......................................................................................

Приложения:

Аноним: это обратная матрица?
Вас заинтересует