• Предмет: Алгебра
  • Автор: dastanaytybekov
  • Вопрос задан 8 лет назад

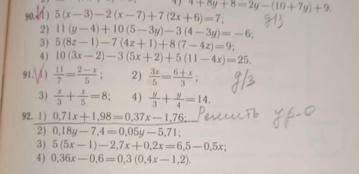
помогите пожалуйста если сможете​

Приложения:

Аноним: все задание?
dastanaytybekov: да трое
dastanaytybekov: на 92 номере только одно уравнение надо
dastanaytybekov: а остальное ненадо

Ответы

Ответ дал: Аноним
2

Объяснение:

дрежи ..................

Приложения:

Аноним: уже вышла 8 серии?
dastanaytybekov: там 9 серии
dastanaytybekov: всего
Аноним: просто я ещё не начила посмотреть, жду когда все серии выйдет
dastanaytybekov: напиши в хроме 8 серия кальмара
Аноним: 9 серии и 1 сезон
dastanaytybekov: кста спасибо за ответ
dastanaytybekov: ^_^
Аноним: не за что:)
Аноним: теперь пошла свои уроки сделать, всем помогла, а про свой забыла
Вас заинтересует