• Предмет: Алгебра
  • Автор: Ulyana50500
  • Вопрос задан 8 лет назад

помогите, пожалуйста. 8 класс. свойства квадратных корней ​

Приложения:

Ответы

Ответ дал: ashakirovna05
1

Объяснение:

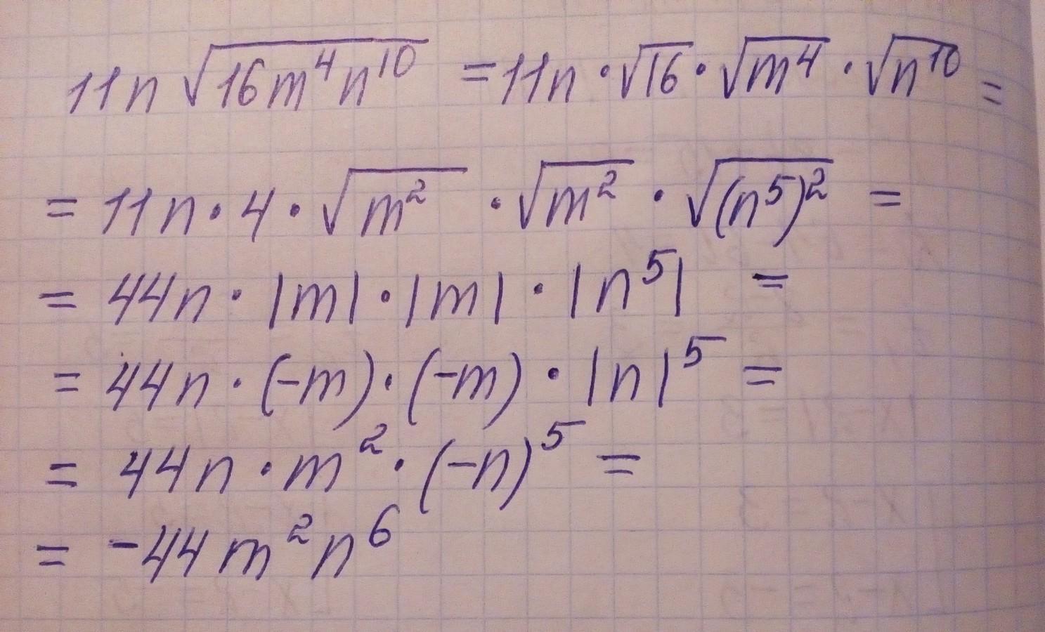
11 n *4 * ..............

Приложения:

Ulyana50500: спасибо ❤️
ashakirovna05: Пожалуйста
Ответ дал: rasulserikuly
1

Ответ:

44m²n⁶

Объяснение:

11n√(16m⁴n¹⁰) = 11n × 4m²n⁵=44m²n⁶

Даже если m меньше ноли то квадрат делает его плюсом

Ведь если минус умножить на минус то получиться плюс (пример: (-2)×(-3)=6)


Ulyana50500: спасибо ❤️
rasulserikuly: рад помочь
Вас заинтересует