• Предмет: Алгебра
  • Автор: an4erl2n
  • Вопрос задан 8 лет назад

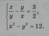
Решить систему уравнений:​

Приложения:

an4erl2n: если вам лень полностью все расписывать, просто подскажите что тут надо подставить

Ответы

Ответ дал: NNNLLL54
0

Ответ:

\left\{\begin{array}{l}\dfrac{x}{y}-\dfrac{y}{x}=\dfrac{3}{2}\\x^2-y^2=12\end{array}\right\ \ \left\{\begin{array}{l}\dfrac{x^2-y^2}{xy}=\dfrac{3}{2}\\x^2-y^2=12\end{array}\right\ \ \left\{\begin{array}{l}\dfrac{12}{xy}=\dfrac{3}{2}\\x^2-y^2=12\end{array}\right\ \ \left\{\begin{array}{l}xy=8\\x^2-y^2=12\end{array}\right

\left\{\begin{array}{l}y=\dfrac{8}{x}\\(x-y)(x+y)=12\end{array}\right\ \ \left\{\begin{array}{l}y=\dfrac{8}{x}\\\Big(x-\dfrac{8}{x}\Big )\Big(x+\dfrac{8}{x}\Big)=12\end{array}\right\ \ \left\{\begin{array}{l}y=\dfrac{8}{x}\\\dfrac{x^2-8}{x}\cdot \dfrac{x^2+8}{x}=12\end{array}\right

\left\{\begin{array}{l}y=\dfrac{8}{x}\\\dfrac{x^4-64}{x^2}=12\end{array}\right\ \ \left\{\begin{array}{l}y=\dfrac{8}{x}\\x^4-64=12x^2\end{array}\right\ \ \left\{\begin{array}{l}y=\dfrac{8}{x}\\x^4-12x^2-64=0\end{array}\right\\\\\\\left\{\begin{array}{l}y=\dfrac{8}{x}\\x^2_1=-4<0\ ,\ x^2_2=16\end{array}\right\ \ \left\{\begin{array}{l}y=\dfrac{8}{x}\\x_1=-4\ ,\ x_2=4\end{array}\right\ \ \left\{\begin{array}{l}y_1=-2\ ,\ y_2=2\\x_1=-4\ ,\ x_2=4\end{array}\right

Otvet:\ \ (-4\ ;-2\ )\ ,\ (\ 4\ ;\ 2\ )\ .

Вас заинтересует