• Предмет: Алгебра
  • Автор: alina0858
  • Вопрос задан 8 лет назад

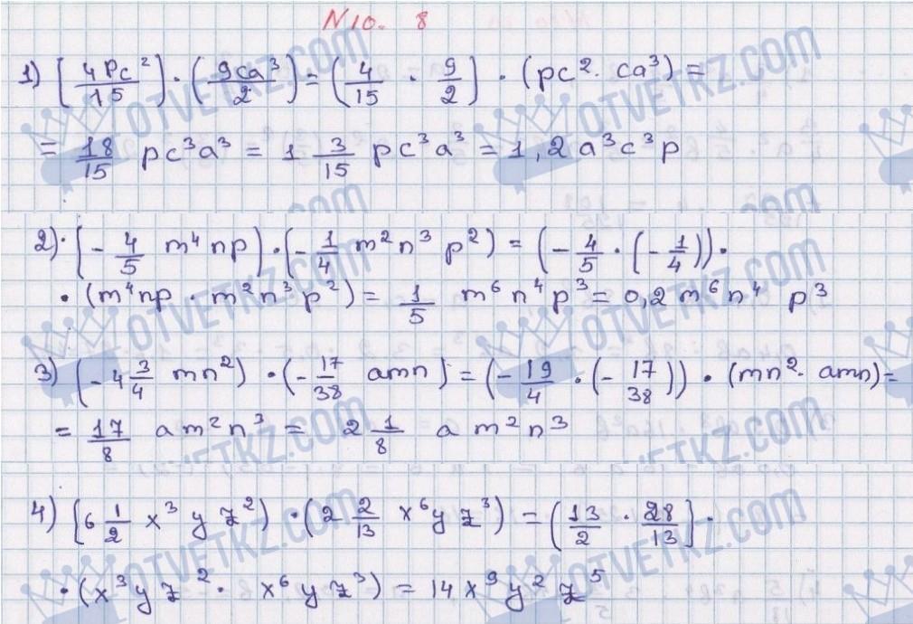
( - 4/5 m⁴np) ( -1/4m²n³p²)
Помогите плизз​

Приложения:

Ответы

Ответ дал: pancukkarina1
2

обьяснение: надеюсь помогла)

Приложения:

doravass01: это правильно?
Вас заинтересует