• Предмет: Алгебра
  • Автор: Аноним
  • Вопрос задан 8 лет назад

помогите, пожалуйста
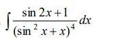
Вычислить интеграл

Приложения:

Ответы

Ответ дал: NNNLLL54
1

Ответ:

\displaystyle \int \frac{sin2x+1}{(sin^2x+x)^4}=\Big[\ t=sin^2x+x\ \ ,\ \ dt=(2sinx\cdot cosx+1)\, dx=\\\\\\=(sin2x+1)\, dx\ \Big]=\int \frac{dt}{t^4}=\int t^{-4}\, dt=\frac{t^{-3}}{-3}+C=-\frac{1}{3(sin^2x+x)^3}+C\ ;


Аноним: помоги тут, пожалуйста
https://znanija.com/task/45627364
Вас заинтересует