• Предмет: Алгебра
  • Автор: Аноним
  • Вопрос задан 8 лет назад

Помогите, пожалуйста
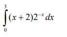
Вычислить интеграл

Приложения:

Ответы

Ответ дал: NNNLLL54
1

Ответ:

\displaystyle \int\limits^3_0\, (x+2)\, 2^{-x}\, dx=\Big[\ u=x+2\ ,\ du=dx\ ,\ dv=2^{-x}\, dx\ ,\ v=-\frac{2^{-x}}{ln2}\ \Big]=\\\\\\=uv-\int v\, du=-\frac{(x+2)\, 2^{-x}}{ln2}\Big|_0^3+\int\limits^3_0\, \frac{2^{-x}}{ln2}\, dx=\\\\\\=-\frac{5\cdot 2^{-3}}{ln2}+\frac{2}{ln2}-\frac{2^{-x}}{ln^22}\Big|_0^3=\frac{2}{ln2}-\frac{5}{8\, ln2}-\Big(\frac{1}{8ln^22}-\frac{1}{ln^22}\Big)=\\\\\\=\frac{11}{8\, ln2}+\frac{7}{8\, ln^22}  

Вас заинтересует