• Предмет: Алгебра
  • Автор: Аноним
  • Вопрос задан 8 лет назад

решить матрицу методом крамера,без онлайн калькулятора​

Приложения:

Ответы

Ответ дал: MrSolution
0

Ответ:

(см. объяснение)

Объяснение:

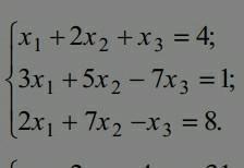
\left\{\begin{array}{c}x_1+2x_2+x_3=4\\3x_1+5x_2-7x_3=1\\2x_1+7x_2-x_3=8\end{array}\right;

Шаг 1:

\Delta=\left|\begin{array}{ccc}1&2&1\\3&5&-7\\2&7&-1\end{array}\right|=\left|\begin{array}{ccc}1&2&1\\10&19&0\\3&9&0\end{array}\right|=\left|\begin{array}{cc}10&19\\3&9\end{array}\right|=\left|\begin{array}{cc}4&1\\3&9\end{array}\right|=33\ne0

Шаг 2:

\Delta_1=\left|\begin{array}{ccc}4&2&1\\1&5&-7\\8&7&-1\end{array}\right|=33\\x=\dfrac{\Delta_1}{\Delta}=1

Шаг 3:

\Delta_2=\left|\begin{array}{ccc}1&4&1\\3&1&-7\\2&8&-1\end{array}\right|=33\\y=1

Шаг 4:

\Delta_3=\left|\begin{array}{ccc}1&2&4\\3&5&1\\2&7&8\end{array}\right|=33\\z=1

Проверкой убеждаемся, что найденные числа удовлетворяют системе.

Задание выполнено!


Аноним: Здравствуйте, MrSolution. Помогите пожалуйста создать веб-страницу html на которой разместить информацию о структуре и виды сайтов. Стиль, цвет фона и текста подобрать на свой вкус. Даю 100 баллов. Заранее спасибо!!!!! https://znanija.com/task/45644302
Вас заинтересует