• Предмет: Алгебра
  • Автор: alexivanik10
  • Вопрос задан 8 лет назад

Помогите пожалуйста выполнить сложение и вычитание дробей

Приложения:

Ответы

Ответ дал: bbbapho
0

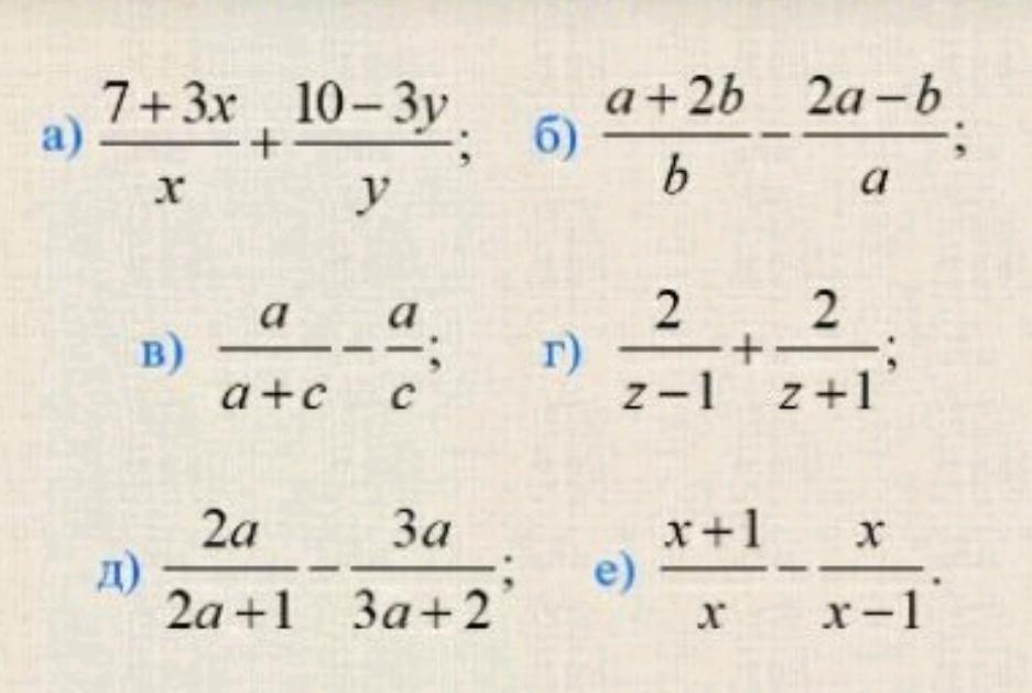
а)

 \frac{7 + 3x}{x}  +  \frac{10 - 3y}{ y}  =  \frac{(7 + 3x) \times y}{x \times y}  +  \frac{(10 - 3y) \times x}{y \times x}  =  \frac{7y + 3xy}{xy}  +  \frac{10x - 3xy}{xy}  =  \frac{7y + 3xy + 10x - 3xy}{xy}  =  \frac{7y + 10x}{xy}

б)

 \frac{a + 2b}{b}  -  \frac{2a - b}{a}  =  \frac{(a + 2b) \times a}{b \times a}  -  \frac{(2a - b) \times b}{a \times b}  =  \frac{ {a}^{2} + 2ab }{ab}  -  \frac{2ab -  {b}^{2} }{ab}  =  \frac{( {a}^{2} + 2ab) - (2ab -  {b}^{2})  }{ab}  =  \frac{ {a}^{2} + 2ab - 2ab +  {b}^{2}  }{ab}  =  \frac{ {a}^{2} +  {b}^{2}  }{ab}

в)

 \frac{a}{a + c}  -  \frac{a}{c}  =  \frac{a \times c}{(a + c) \times c}  -  \frac{a \times (a + c)}{c \times (a + c)}  =  \frac{ac}{ac +  {c}^{2} }  -  \frac{ {a}^{2}  + ac}{ac +  {c}^{2} }  =  \frac{ac - ( {a}^{2}  + ac)}{ac +  {c}^{2} }  =  \frac{ac -  {a}^{2}  - ac}{ac +  {c}^{2} }  =  \frac{ -  {a}^{2} }{ac +  {c}^{2} }  =  -  \frac{ {a}^{2} }{ac +  {c}^{2} }

г)

 \frac{2}{z - 1}  +  \frac{2}{z + 1}  =  \frac{2 \times (z + 1)}{(z - 1) \times (z + 1)}  +  \frac{2 \times (z - 1)}{(z + 1) \times (z - 1)}  =  \frac{2z + 2}{ {z}^{2} - 1 }  +  \frac{2z - 2}{ {z}^{2} - 1 }  =  \frac{2z + 2 + 2z - 2}{ {z}^{2} - 1 }  =  \frac{4z}{ {z}^{2} - 1 }

д)

 \frac{2a}{2a + 1}  -  \frac{3a}{3a + 2}  =  \frac{2a \times (3a + 2)}{(2a + 1) \times (3a + 2)}  -  \frac{3a \times (2a + 1)}{(3a + 2) \times (2a + 1)}  =  \frac{6 {a}^{2} + 4a }{6 {a}^{2}  +4a + 3a + 2}  -  \frac{6 {a}^{2}  + 3a}{6 {a}^{2}  + 3a + 4a + 2}  =  \frac{6 {a}^{2}  + 4a}{6 {a}^{2}  + 7a + 2}  -  \frac{6 {a}^{2} + 3a }{6 {a}^{2}  + 7a + 2}  =  \frac{(6 {a}^{2}  + 4a) - (6 {a}^{2} + 3a) }{6 {a}^{2} + 7a + 2 }  =  \frac{6 {a}^{2} + 4a - 6 {a}^{2}  - 3a }{6 {a}^{2}  + 7a + 2}  =  \frac{a}{6 {a}^{2}  + 7a + 2}

е)

 \frac{x + 1}{x}  -  \frac{ x}{x - 1}  =  \frac{(x + 1) \times (x - 1)}{x \times (x - 1)}  -  \frac{x \times x}{(x - 1) \times x}  =  \frac{ {x}^{2}  - 1}{ {x}^{2} - x }  -  \frac{ {x}^{2} }{ {x}^{2} - x }  =  \frac{{x}^{2}  - 1 -  {x}^{2} }{ {x}^{2}  - x}  =  \frac{ - 1}{ {x}^{2}  - x}  =  -  \frac{1}{ {x}^{2} - x }

Вас заинтересует