Ответы
Ответ дал:
2
Ответ:
Пошаговое объяснение:
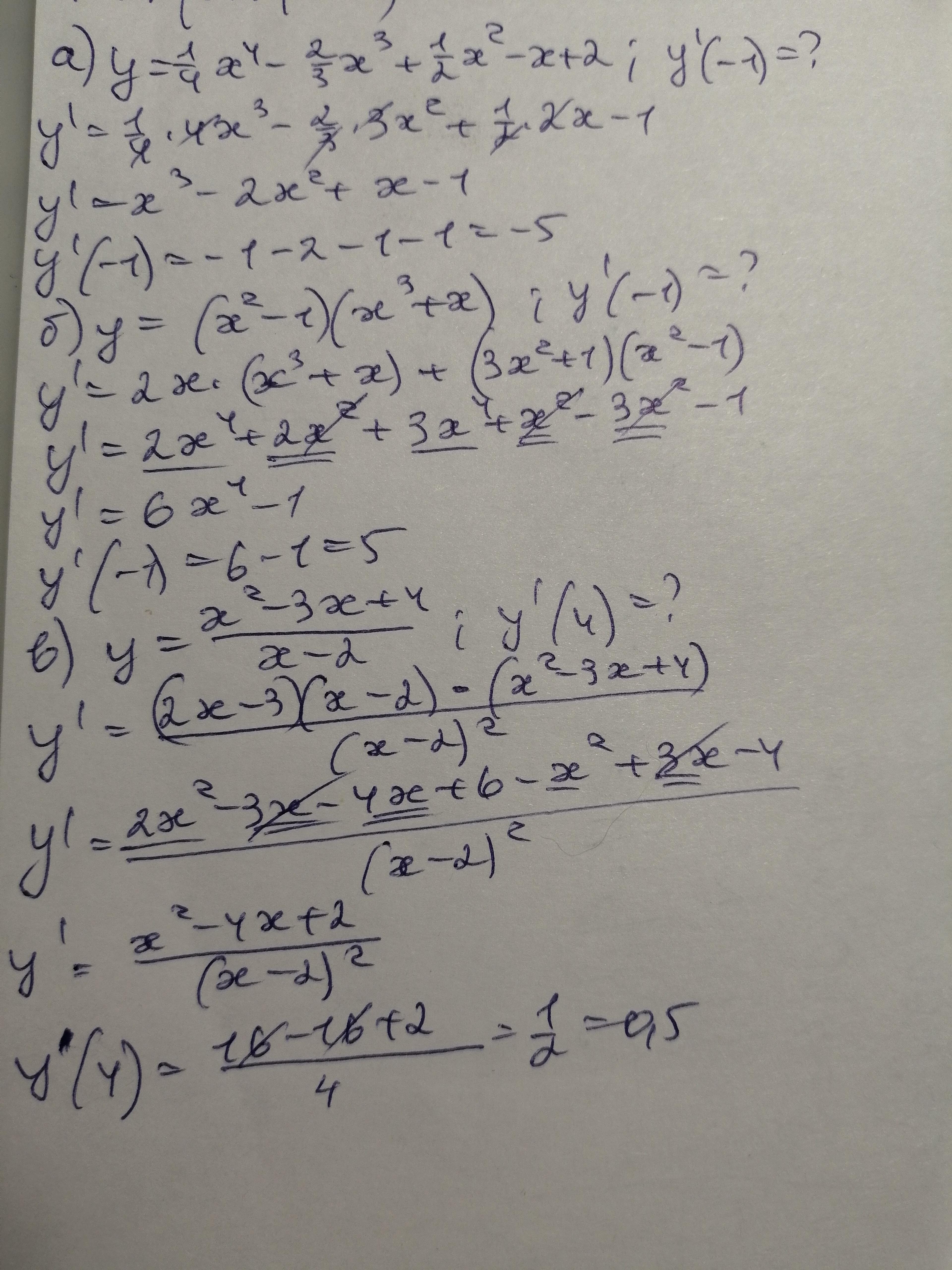
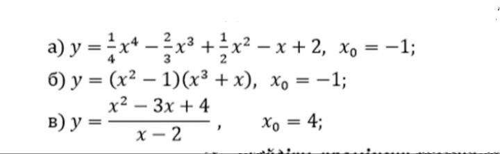
1 . a) y = 1/4 x⁴ - 2/3 x³ + 1/2 x²- x + 2 , x₀ = - 1 ;
y ' = ( 1/4 x⁴ - 2/3 x³ + 1/2 x²- x + 2 ) ' = 1/4 * 4x³ - 2/3 *3x² + 1/2 *2x - 1 + 0 =
= x³ - 2x² + x - 1 ;
y '( - 1 ) = (- 1 )³ - 2* (- 1 )² + (- 1 ) - 1 = - 5 ;
б) y = ( x² - 1 )( x³ + x ) = ( x² - 1 )( x² + 1 )*x = ( ( x² )² - 1² )*x =( x⁴-1)*x = x⁵- x ;
y ' = ( x⁵- x ) ' = 5x⁴ - 1 ;
y '( - 1 ) = 5* (- 1 )⁴ - 1 = 5 * 1 - 1 = 4 ;
в) y = ( x² - 3x + 2 )/( x - 2 ) = ( x - 1 )( x - 2 )/( x - 2 ) = x - 1 ;
y ' = ( x - 1 )' = 1 - 0 = 1 ;
y '( 4 ) = 1 .
Ответ дал:
1
Ответ:
Пошаговое объяснение:
Всё решаем по формулам.
Приложения:

Вас заинтересует
2 года назад
2 года назад
3 года назад
8 лет назад
8 лет назад
9 лет назад