• Предмет: Геометрия
  • Автор: OKEY1
  • Вопрос задан 11 лет назад

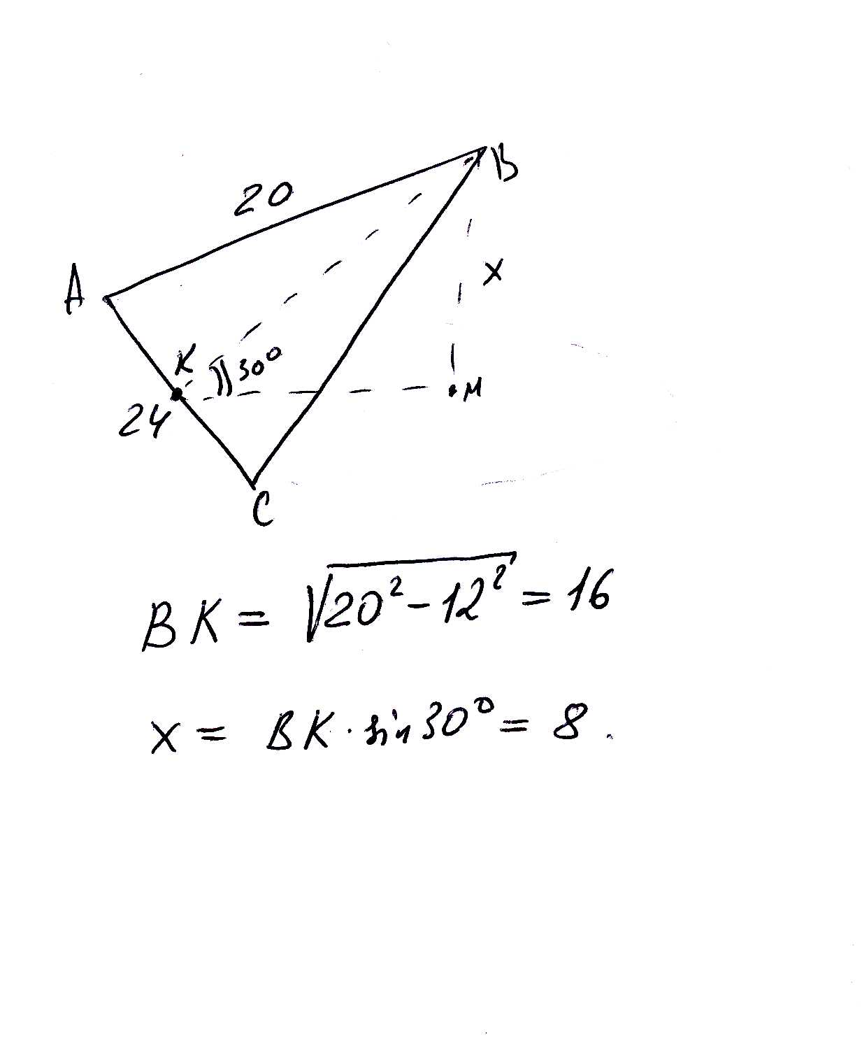
Основание АС равнобедренного треугольника лежит в плоскости альфа. Найти расстояние от точки В до плоскости альфа,                                           если АВ=20см, АС=24 см, а двугранный угол между плоскостями АВС и альфа равен 30 градусам.

Ответы

Ответ дал: cos20093
0

Высота, опущенная на АС из В, равна 16 (по теореме Пифагора),

Расстояние от В до плоскости равно 16*sin(30) = 8;

Приложения:
Вас заинтересует