• Предмет: Алгебра
  • Автор: Brat220
  • Вопрос задан 8 лет назад

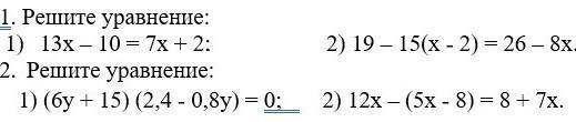
Помогите пожалуйста ​

Приложения:

Ответы

Ответ дал: nikitap030709
0

Объяснение:

1 пункт .

выносим в другую сторону с обратным знаком.

13х =7х +12

13-7=6 х

6х=12

х=2


Brat220: а 10 где?
nikitap030709: 10 пункта тут нет
Brat220: там написано13x-10=7x+2
Brat220: куда 10 пропала?
nikitap030709: ну 10 перенесли с противополжным знаком за знак равно
Ответ дал: larisaserova53
0

Ответ:

Смотри решение на фото выше

Приложения:
Вас заинтересует