точка M середина отрезка BC, а точка K-середина отрезка BM. Найти координаты точки C, если:
1)B (-2;4) M(3;-1)
Ответы
Ответ дал:
0
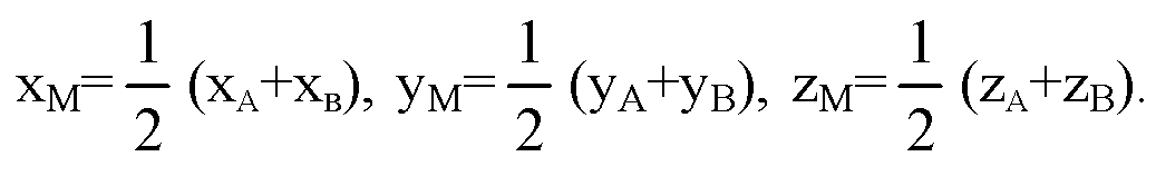
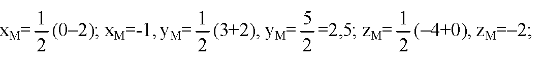
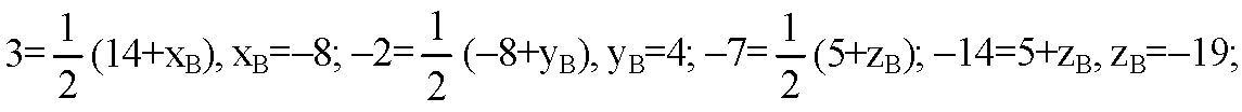
Подставим координаты данныхнам точек:Координаты середины отрезка выражаются через координаты его начала и конца,
Приложения:




Ответ дал:
0
не знаю правильно или не правильно но вроде так.
Ответ дал:
0
Ответ должен быть 8 и -6
Вас заинтересует
2 года назад
8 лет назад
10 лет назад
10 лет назад
10 лет назад