МЕГА СРОЧНО!!!
нужно решить два неравенства (9 класс)
Чтоб было все понятно, и учитель недокапывался ((
Приложения:

Ответы
Ответ дал:
1
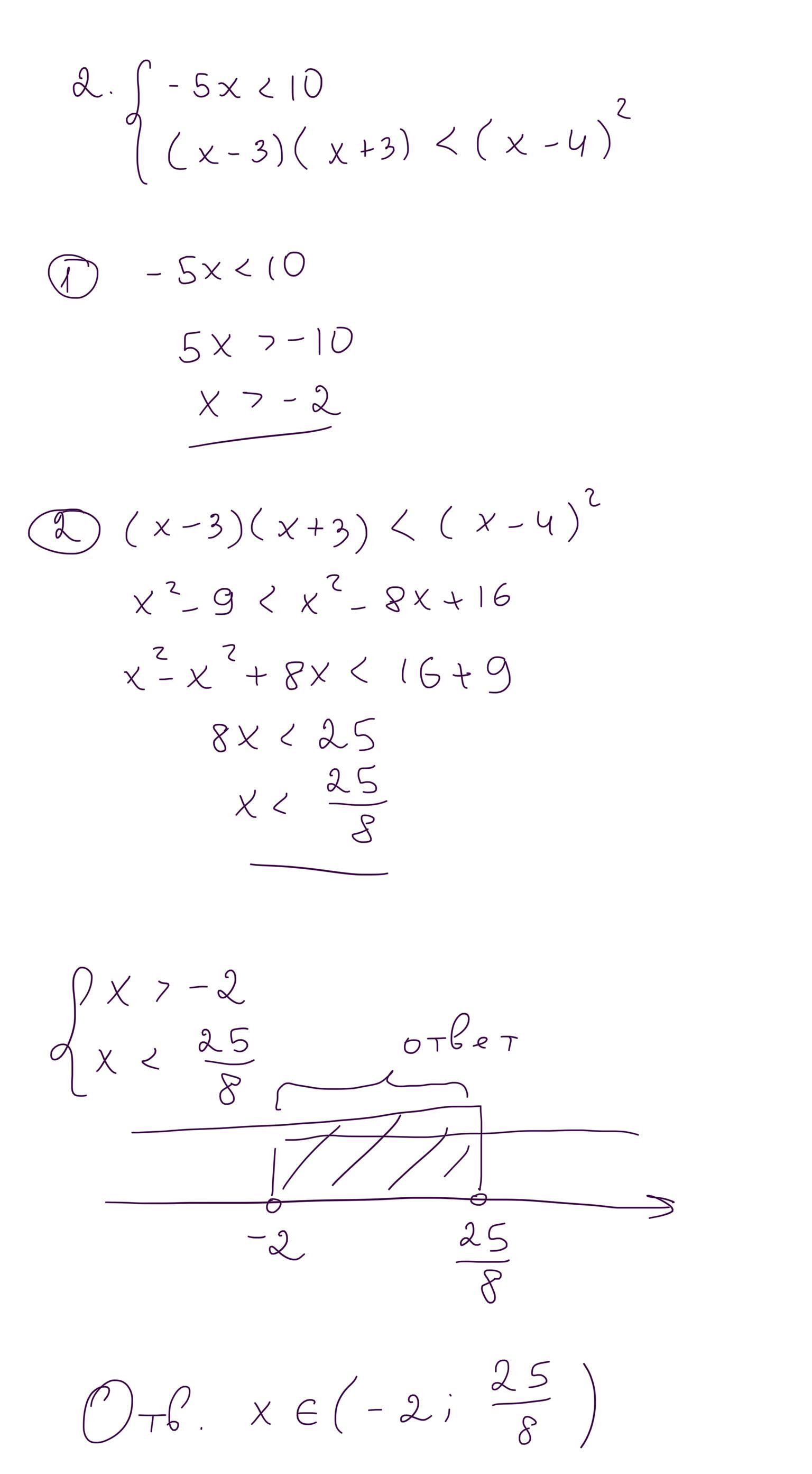
Ответ:
Приложения:

bkv321089:
спасибо вам огромное!!
Вас заинтересует
2 года назад
2 года назад
3 года назад
8 лет назад
8 лет назад
9 лет назад