• Предмет: Алгебра
  • Автор: dzhanelinavi
  • Вопрос задан 8 лет назад

100 баллов
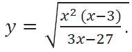
Найдите область определения функции

Приложения:

Ответы

Ответ дал: kanmmu
10

Ответ:

х€(-беск;3]U(9;+беск)

Объяснение:

1. Функция определена, если подкоренное выражение имеет смысл (неотрицательно). Отсюда неравенство.

2. Найдем нули подкоренного выражения, они разбивают числовую ось на интервалы.

3. Применим метод интервалов. Знак крайнего левого интервала совпадает со знаком старшего коэффициента (в нашем случае это 1/3), при переходе через нули нечетной кратности знак меняется на противоположный, при переходе через нули четной кратности знак не меняется.

Приложения:

dzhanelinavi: Большое спасибо, вы меня спасли
Calimullinanas: а Д(y)=? это делимое не известно или что?
Calimullinanas: и где x1=0- нет кратности а ниже x2=3 yt x`nyjt rhfnyjcnb lf&
Calimullinanas: не чётное кратности да?
kanmmu: D(y) читается как "дэ от игрек". Это обозначение области определения функции. х1=0 это и есть корень чет кратности. То есть х^2=0 равносильно х*х=0, значит есть два совпадающих корня х1=0 и х2=0. Если совпадающих корней четное количество, тогда говорят, что это корни чётной кратности.
kanmmu: Например, в уравнениях х^2=0, х^4=0 и т.д. х=0 -корни чётной кратности
Calimullinanas: спасибо
Calimullinanas: а в конце игрик или икс
yuvanskyzz: Ты хорошо сечешь в алгебре, а ты поможешь мне решить пару заданий ?
Ответ дал: Аноним
1

Ответ:

Вроде верно.................

у=√(х²(х-3)/(3х-27))≥0

х²(х-3)≥0

х≠3

3х-27≥0

х≠9

х € [-∞;3)U(9;+∞)

Объяснение:


cajnyjzapoj: помогите с русским языком
Вас заинтересует