• Предмет: Физика
  • Автор: oslavich2005
  • Вопрос задан 8 лет назад

Добрый день. Помогите пожалуйста с лабораторной по физике. Заранее благодарю!!!!!
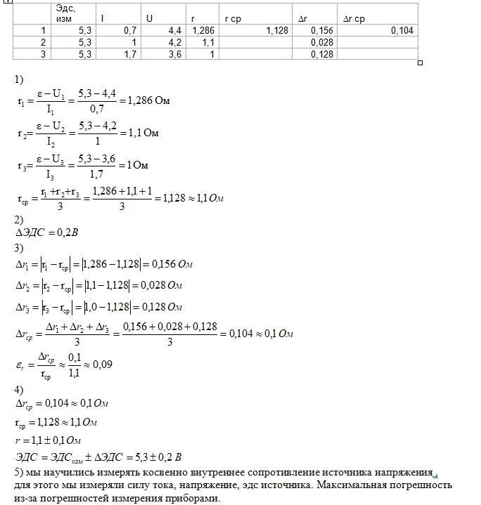
Тема: Измерение ЭДС и внутреннего сопротивления источника тока. 100 баллов!!!

Приложения:

Ответы

Ответ дал: IUV
3

Ответ:

скачал из интернета чье-то решение, зовут iuv/ как и меня.

Объяснение:

Приложения:

oslavich2005: Спасибо большое
IUV: поисковик в помощь\
IUV: на здоровье
oslavich2005: А вы уже когда то решали эту лабораторную как у меня?
IUV: похожие задачи проще делать в экселе. но потом трудоемкая процедура переноса в читабельный вид. поэтому я стараюсь лабораторными не заниматься
Вас заинтересует