• Предмет: Алгебра
  • Автор: antimaks08
  • Вопрос задан 8 лет назад

помогите Пж! А то я в Алгебре вообще ноль

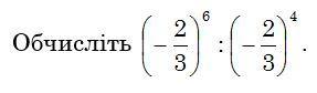
Приложения:

Ответы

Ответ дал: 19800322mmmr5
2

Ответ:

(-2/3)⁶÷(-2/3)⁴= -2/3²

Объяснение:

При делении степеней с одинаковым основанием надо:

основание оставить прежним, а показатели вычесть.

Ответ дал: adelinamoish9
1
Відповідь:(-2/3)6:(-2/3)4=(-2/3)2
Вас заинтересует