• Предмет: Математика
  • Автор: bezumnyyvoy
  • Вопрос задан 8 лет назад

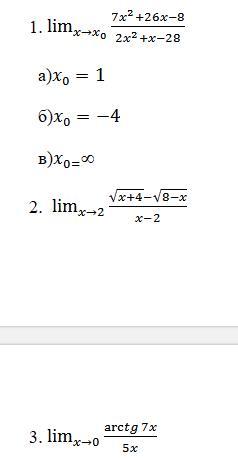
решите задания пожалуйста очень срочно
!!

Приложения:

Ответы

Ответ дал: TYKA25
1
....:::...................
Приложения:
Вас заинтересует