• Предмет: Алгебра
  • Автор: sanzarzansugurov544
  • Вопрос задан 8 лет назад

помогите срочно пожалуйста алгебра​

Приложения:

Ответы

Ответ дал: bella7777
0

Ответ:

a)

 \frac{1}{ {a}^{2} }  \times ( -  {3a}^{5} ) \\  - 3 {a}^{2}  \\

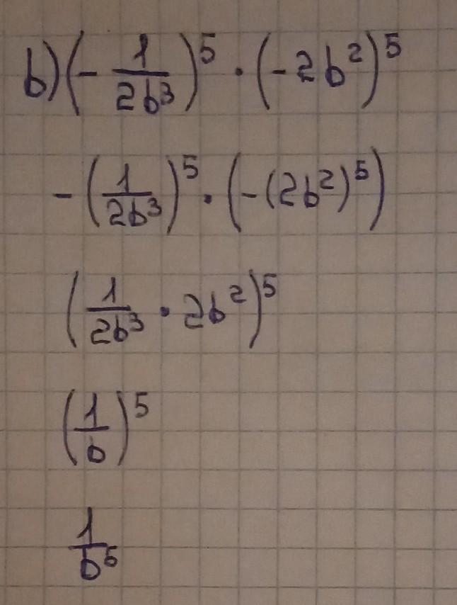
b)

Объяснение:

Приложения:
Ответ дал: 10853
0

Відповідь:

Пояснення:

Приложения:
Вас заинтересует