• Предмет: Математика
  • Автор: dhvorova10
  • Вопрос задан 8 лет назад

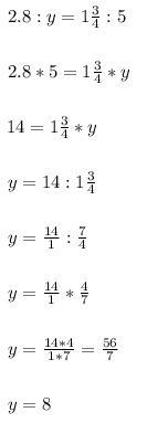
Решите пропорцию: 2 1/3 : а = 3 1/3 : 4 1/5​

Ответы

Ответ дал: hackerminstream
1

Ответ:

(скриншот)

Если помог - поставь сердечко и поставь 5 звёзд. Если очень понравился ответ - то можешь и лучшим ответом сделать <3

Приложения:

dhvorova10: Не особо помог, но все равно поставлю, мне не жалко)
hackerminstream: прости...
Ответ дал: 234556677788
0
2345677 аааааааааа 24567
Вас заинтересует