• Предмет: Математика
  • Автор: Викарий
  • Вопрос задан 10 лет назад

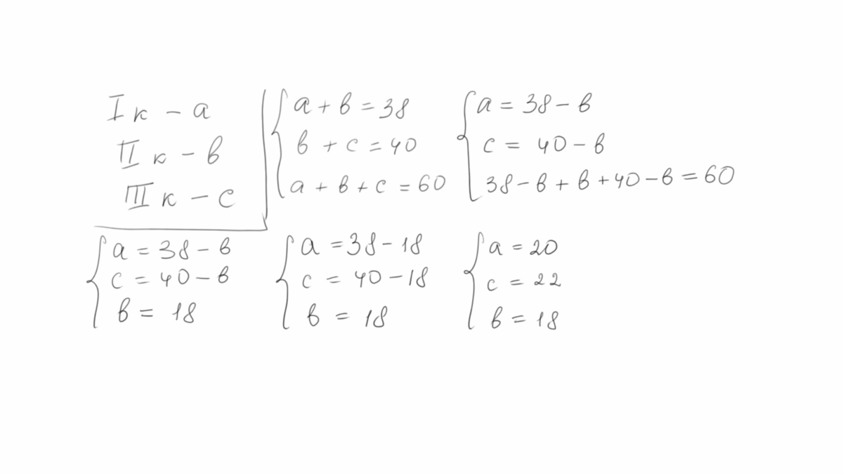
в трех корзинах 60 яблок.в первой
и второй 38,а во второй и третьей 40.сколько в каждой?

Ответы

Ответ дал: Inbon
0
в трех корзинах 60 яблок.в первой
и второй 38,а во второй и третьей 40.сколько в каждой?

Решение на картинке:
Приложения:
Вас заинтересует