• Предмет: Математика
  • Автор: uvarovaregina
  • Вопрос задан 8 лет назад

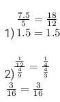
из данных чисел составьте верную пропорцию и докажите что она верна б)по основному свойству пропорции. 1/12;1/4;4/9; 1 1/3 пж помогите дам 25 баллов​

Ответы

Ответ дал: yarpril4
1

Ответ:

12 баллов, бро

Пошаговое объяснение:

Приложения:
Вас заинтересует