• Предмет: Алгебра
  • Автор: nikita4222
  • Вопрос задан 8 лет назад

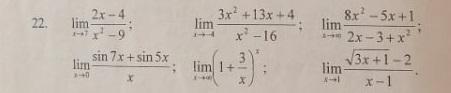
Вычислить пределы функции

Приложения:

Artur1505: последний предел домножим на сопряженное. =((3x+1)^(1/2)-2)(3x+1)^(1/2)+2)/((3x+1)^(1/2)-+2)(x-1))=(3x+1-4)/((3x+1)^(1/2)-+2)(x-1))=3(x-1)/((3x+1)^(1/2)-+2)(x-1))=3/(3x+1)^(1/2)-+2)
Artur1505: подставим 1. = 3/(V4+2)=3/4

Ответы

Ответ дал: nastyaorlova5
1

Ответ:

всё расписано на фото

 

Приложения:
Вас заинтересует