Ответы
Ответ дал:
0
1. 
2.
2.
Ответ дал:
0
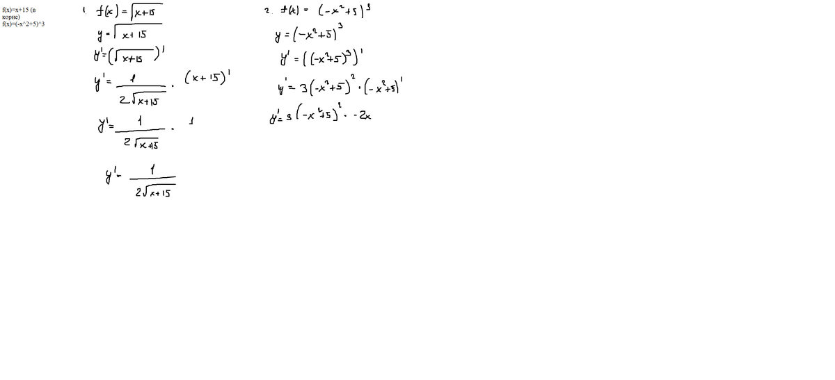
решение во вложении
Приложения:
Вас заинтересует
3 года назад
3 года назад
8 лет назад
8 лет назад
11 лет назад
11 лет назад
11 лет назад