• Предмет: Алгебра
  • Автор: maria7082
  • Вопрос задан 8 лет назад

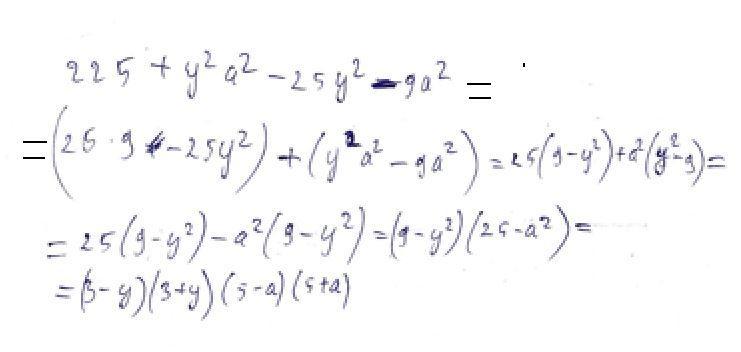
225+у²а²-25у²-9а² помогите пожалуйста решить​

Приложения:

Ответы

Ответ дал: andpey2005
1

Ответ:

(3-y)(3+y)(5-a)(5+a)

Объяснение:

Приложения:

maria7082: нет, не правильно
andpey2005: Не знаю, машина решила так же
Ответ дал: staoret2006
0
Вот это всё пиши и всё
Приложения:
Вас заинтересует