Ответы
Ответ дал:
1
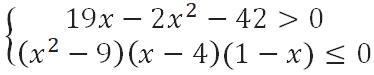
Ответ: 4 <= x < 6 ( решение на картинке)
Приложения:

artemhmyrov59:
СПАСИБО ВАМ ОГРОМНОЕ,ОЧЕНЬ ВЫРУЧИЛИ
Вас заинтересует
2 года назад
2 года назад
3 года назад
3 года назад
9 лет назад