• Предмет: Алгебра
  • Автор: Аноним
  • Вопрос задан 8 лет назад

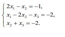
Решить систему линейных уравнений матричным методом (используя обратную матрицу)

Приложения:

Ответы

Ответ дал: NNNLLL54
1

Ответ:

\left\{\begin{array}{l}2x_1-x_2=-1\\x_1-2x_2-x_3=-2\\x_2+x_3=-2\end{array}\right

\Delta =\left|\begin{array}{ccc}2&-1&0\\1&-2&-1\\0&1&1\end{array}\right|=2(-2+1)+(1-0)=-2+1=-1\\\\\\A_{11}=-1\ \ \ ,\ \ \ A_{12}=-1\ \ \ ,\ \ \ \ \, A_{13}=1\\A_{21}=1\ \ \ ,\ \ \ \ \ A_{22}=2\ \ \ ,\ \ \ \ \ \ \ A_{23}=-2\\A_{31}=1\ \ \ ,\ \ \ \ \ A_{32}=2\ \ \ ,\ \ \ \ \ \ \ A_{33}=-3\\\\A^{-1}=-\left(\begin{array}{ccc}-1&1&1\\-1&2&2\\1&-2&-3\end{array}\right)=\left(\begin{array}{ccc}1&-1&-1\\1&-2&-2\\-1&2&3\end{array}\right)

X=A^{-1}B=\left(\begin{array}{ccc}1&-1&-1\\1&-2&-2\\-1&2&3\end{array}\right)\cdot \left(\begin{array}{ccc}-1\\-2\\-2\end{array}\right)=\left(\begin{array}{ccc}-1+2+2\\-1+4+4\\1-4-6\end{array}\right)=\left(\begin{array}{ccc}3\\7\\-9\end{array}\right)


60501000: здравствуйте люди добрые можете помочь с алгеброй вопрос в профиле
huawer8: МНЕ ПОМОГИТЕ ПОЖАЛУЙСТА УМОЛЯЮ СРОЧНО​
Вас заинтересует