• Предмет: Алгебра
  • Автор: anastasiakarpova904
  • Вопрос задан 8 лет назад

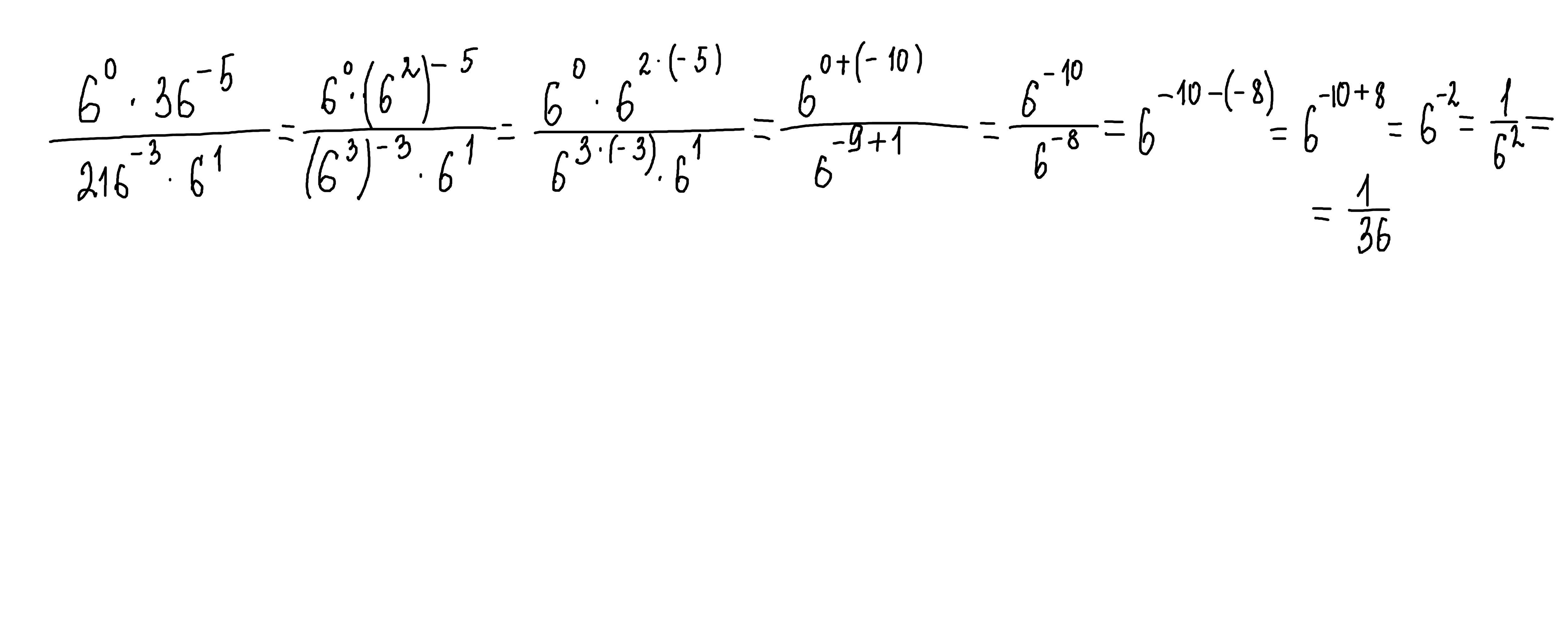
3. Вычислите значение выражения: ​

Приложения:

Ответы

Ответ дал: parus77
1

Ответ:

1\36

Объяснение:

решение внизу

Приложения:
Вас заинтересует