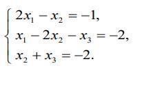
помогите, пожалуйста! Решить систему линейных уравнений матричным методом (используя обратную матрицу)
Приложения:

Ответы
Ответ дал:
1
Ответ дал:
1
Вас заинтересует
2 года назад
3 года назад
3 года назад
8 лет назад
9 лет назад
можешь еще помочь?