Ответы
Ответ дал:
1
Ответ:
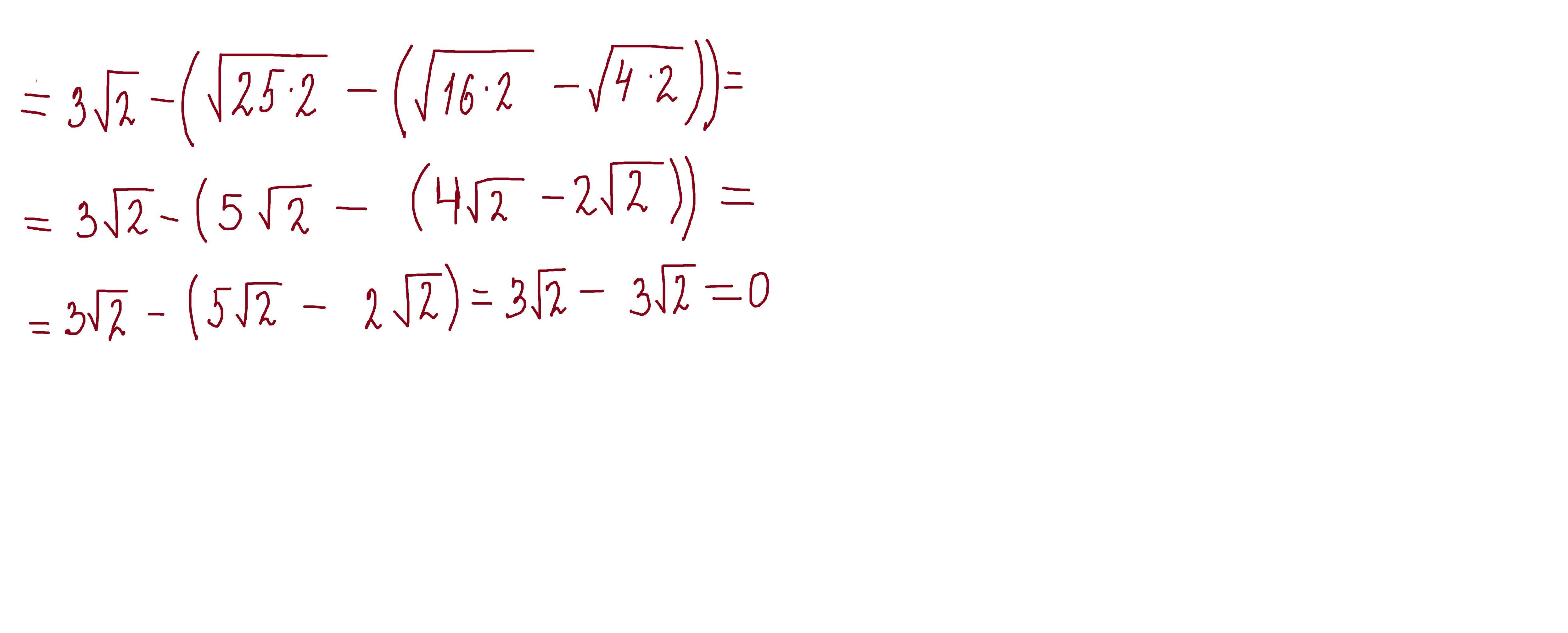
0
Объяснение:
решение внизу
Приложения:

Вас заинтересует
3 года назад
8 лет назад
9 лет назад