• Предмет: Алгебра
  • Автор: Аноним
  • Вопрос задан 8 лет назад

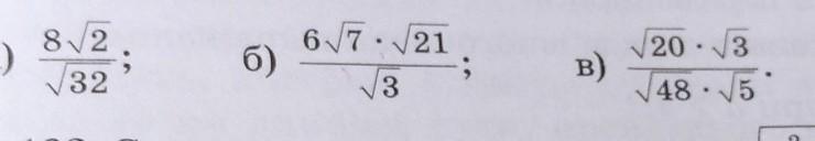
ПОМОГИТЕ

Напишите решение этого номера

8 КЛАСС​

Приложения:

Ответы

Ответ дал: puckyoudi
1

Ответ данного уравнения будет 42

Приложения:
Вас заинтересует