• Предмет: Алгебра
  • Автор: shymanska08
  • Вопрос задан 8 лет назад

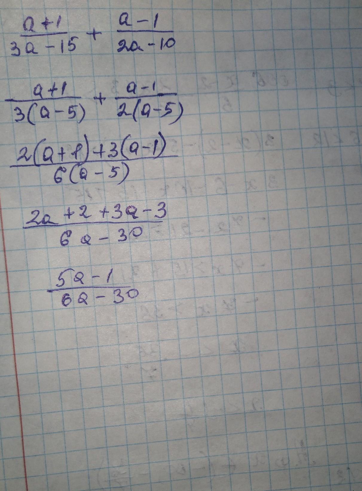
Помогите пожайлуста

Приложения:

khusanovarobia19: все нужно тебе?
shymanska08: просто ответ
shymanska08: Просто сколько выйдет
khusanovarobia19: там много примеров на все ответить?
khusanovarobia19: я просто ваш язык не поняла , теперь поняла что это варианты ответов

Ответы

Ответ дал: khusanovarobia19
3

Объяснение:

Прости если неправильно . отметь пожалуйста лучший ответ и лайкни

Приложения:

khusanovarobia19: отметь пожалуйста лучший ответ
Вас заинтересует