• Предмет: Алгебра
  • Автор: sonyanazarova08
  • Вопрос задан 8 лет назад

помогите решить срочно

Приложения:

Ответы

Ответ дал: VITMAX23
0

Відповідь:

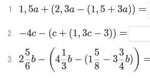
1)0,8а-1,5

2)-6,3с+3

Пояснення:

1)1,5а+(2,3а-(1,5+3а))=1,5а+2,3а-1,5-3а=0,8а-1,5

2)-4с-(с+(1,3с-3))=-4с-(с+1,3с-3)=-4с-с-1,3с+3=-6,3с+3


VITMAX23: если не сложно сделай ответ лучшим)
sonyanazarova08: третье не ответил
Вас заинтересует