• Предмет: Математика
  • Автор: lyagushka98765
  • Вопрос задан 8 лет назад

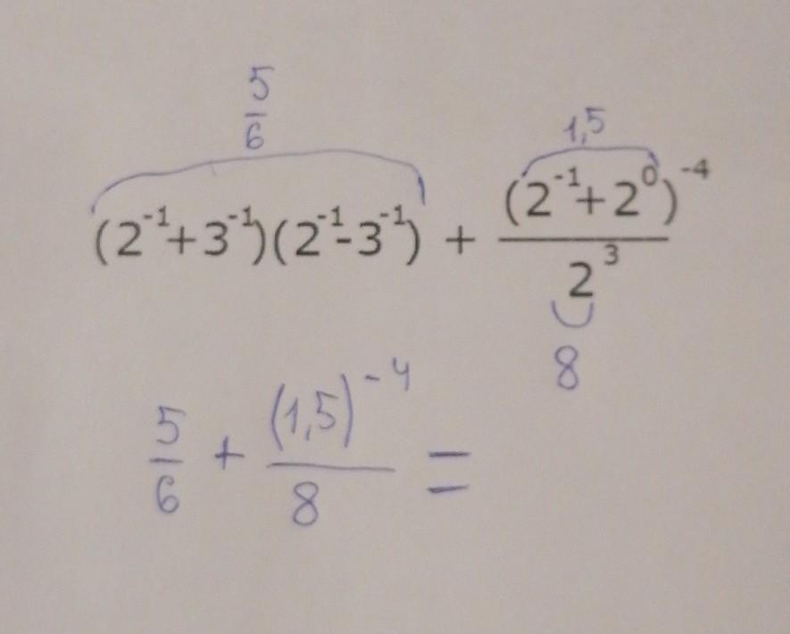
Решить. Степени с минусом​

Приложения:

Ответы

Ответ дал: sabirzelena
0

Ответ:

Пошаговое объяснение:

1)

1/2+1/3=5/6

2)

1/2-1/3=1/6

3)

5/6*1/6=5/36.

4)

1 /  8* (3/2)⁴=2/81

5)

5/36*+2/81=(45+8)/324=53/324.

Общий знаменатель 324.

Ответ дал: dobra888
0

Ответ:       53/324 .

Пошаговое объяснение:

( 2⁻¹ + 3⁻¹)( 2⁻¹- 3⁻¹) + ( 2⁻¹ +2⁰)⁻⁴/2³ = ( 2⁻¹)² - (3⁻¹)² + ( 1/2 + 1 )⁻⁴/8 =

= ( 1/2)² - ( 1/3 )² + ( 3/2 )⁻⁴: 8 = 1/4 - 1/9 + ( 2/3 )⁴: 8 = 1/4 - 1/9 + 16/81 * 1/8 =

= 1/4 - 1/9 + 2/81 = 5/36 + 2/81 = 53/324 .

Вас заинтересует