• Предмет: Алгебра
  • Автор: nezenecana
  • Вопрос задан 8 лет назад

помогите пожалуйстааа​

Приложения:

Ответы

Ответ дал: 4721578
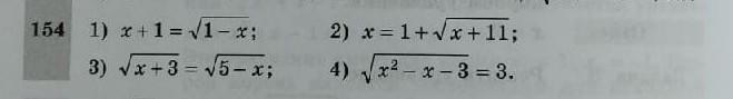
3

Ответ:

1) х=0

2) х=5

3) х=1

4) х1=-3; х2=4

Объяснение:


nezenecana: а можно рассписать?
Вас заинтересует