• Предмет: Математика
  • Автор: anya13475549
  • Вопрос задан 8 лет назад

Пожалуйста можете помочь

Приложения:

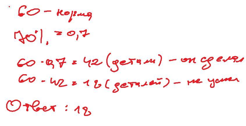
sabirzelena: 18 деталей

Ответы

Ответ дал: skala
0

Ответ: Ответ на фото

Решение:

Приложения:
Ответ дал: ZxcGulb
1

Ответ:

18

Пошаговое объяснение:

100 делим на 60

равно 0.6- одна деталь

0.6 умножаем на 70=42

60-42=18

Вас заинтересует