Ответы
Ответ дал:
0
Ответ:
Пошаговое объяснение:
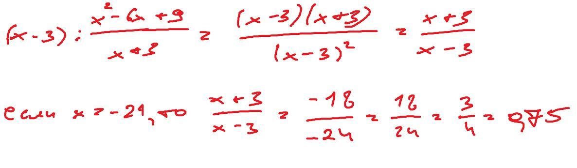
Решение дано на фото.
Приложения:

missxlorgecsidin:
спасибо большое ❤️
Ответ дал:
0
Ответ:
Фото
Пошаговое объяснение:
Приложения:

Вас заинтересует
2 года назад
2 года назад
3 года назад
3 года назад
8 лет назад
8 лет назад
9 лет назад