• Предмет: Математика
  • Автор: dvoaosulu
  • Вопрос задан 8 лет назад

помогите пожалуйста срочно!!!!​

Приложения:

Ответы

Ответ дал: nastyaorlova5
0

Ответ:

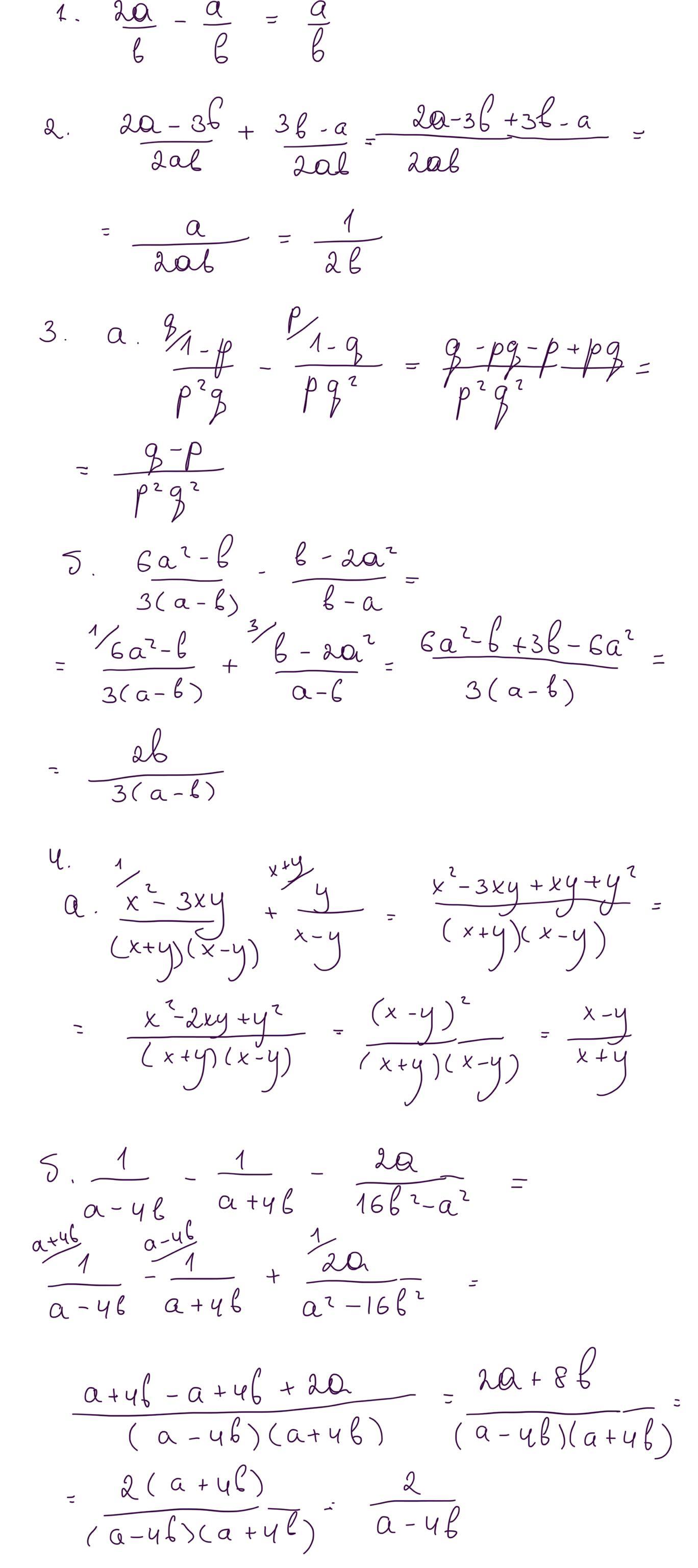
Всё расписано на фото

Приложения:
Вас заинтересует