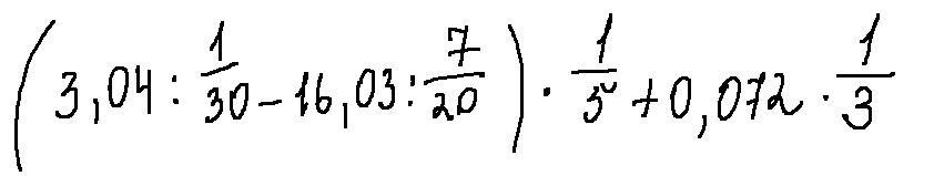
Прошу, помогите, решите по действиям с подробными расчётами, желательно в письменном виде, спасибо
Приложения:

Ответы
Ответ дал:
1
Объяснение:
держи))))))))))))))))))))
Приложения:

Onlyangelshavewings:
Однако ответ должен получиться 9,104 , но всё равно спасибо
Ответ дал:
0
Ответ:
9.104
Объяснение:
Вас заинтересует
2 года назад
3 года назад
8 лет назад
9 лет назад