Ответы
Ответ дал:
7
Ответ:
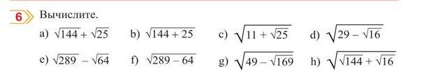
См. Фото↓↓↓
Пошаговое объяснение:
Приложения:

Ответ дал:
15
☆☆☆☆☆☆☆☆☆☆☆☆☆☆☆☆☆☆☆☆
Приложения:

Аноним:
Да, почерк у вас сильно лучше, чем у меня
Вас заинтересует
2 года назад
3 года назад
3 года назад
8 лет назад
8 лет назад
9 лет назад