• Предмет: Алгебра
  • Автор: Onlyangelshavewings
  • Вопрос задан 8 лет назад

Помогите, пожалуйста

Приложения:

Ответы

Ответ дал: bb573878
1

Ответ:

-4.8

Объяснение:

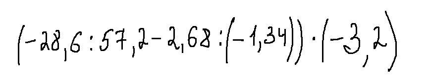
\displaystyle\bf(-28.6:57.2-2.68:(-1.34))\cdot(-3.2)=-4.8\\\\\\\ 1)\ -28.6:57.2=-28.6:(28.6\cdot2)=-28.6:28.6:2=-1:2=-0.5\\\\\\2)\ -2.68:(-1.34)=2.68:1.34=2\\\\\\3)\ -0.5+2=1.5\\\\\\4)\ 1.5\cdot(-3.2)=-4.8

Ответ дал: ludmilaksenija2005
1

Объяснение:

(-28,6:57,2-2,68:(-1,34))×(-3,2)= - 4,8

1) - 28,6:57,2= - 0,5

2) 2,68:(-1,34)= - 2

3) - 0,5-(-2)= - 0,5+2=1,5

4) 1,5×(-3,2)= - 4,8

Вас заинтересует