Ответы
Ответ дал:
1
Решение задания прилагаю
Приложения:

huawer8:
МНЕ ПОМОГИТЕ ПОЖАЛУЙСТА
Ответ дал:
1
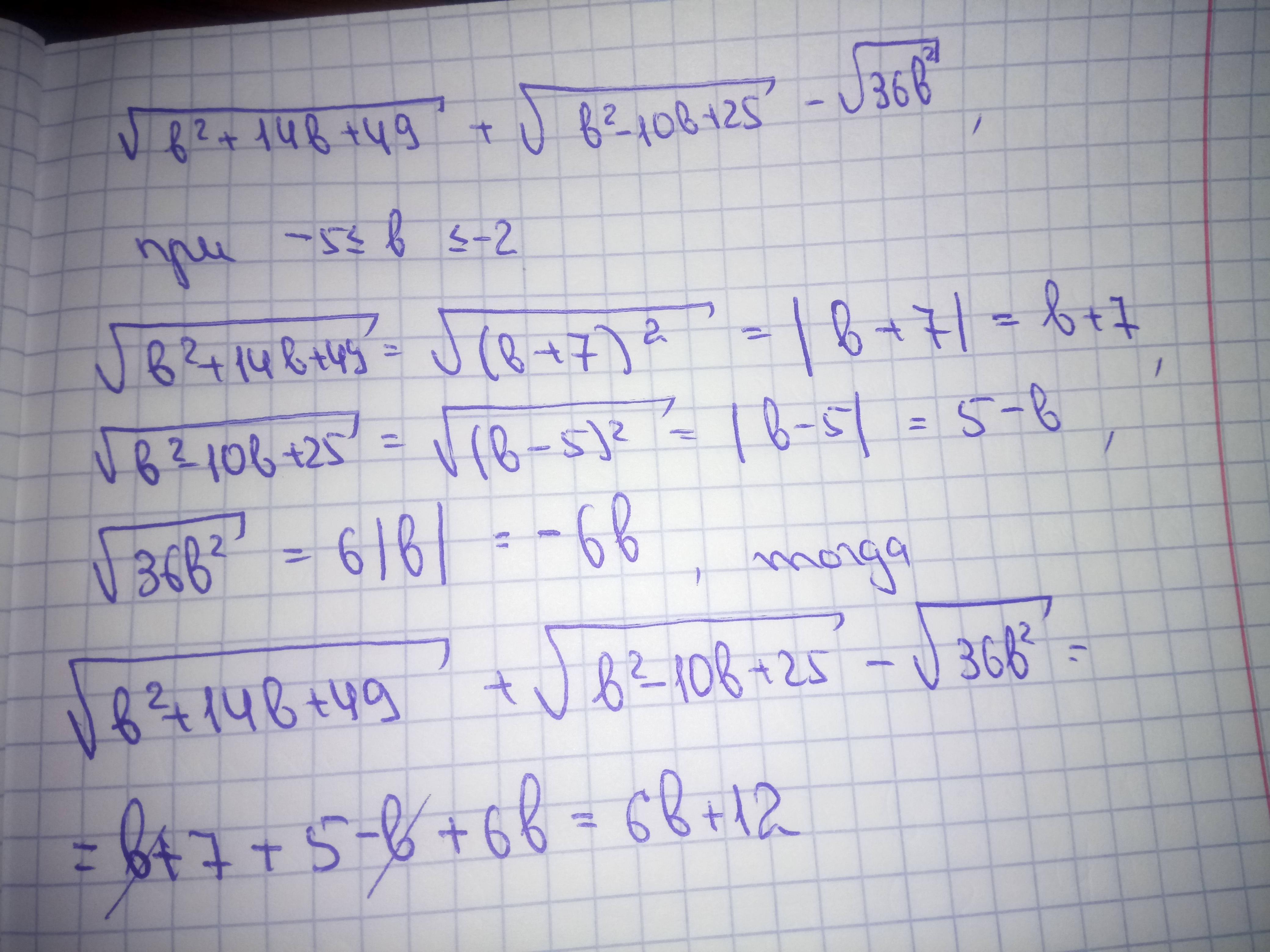
Ответ:6б+12 или 6(б+2)
Объяснение:
Сначала складываем формулы:
√(б+7)^2+√(б-5)^2+√36б^2
Есть такое правило = √(а^2)=|а| - корень с а^2 равно модуль а.
Если мы в первый корень подставим -5 , то -5+7= 2 - положительное; подставим -5 во второй корень -5-5=-10 - отрицательное. Значит мы первый корень раскрываем с плюсом, а второй с минусом. Получается:
(б+7)-(б-5)+ √36*б^2
Если мы подставим числа в √36б^2, то увидим, что нам не важно какое б, результат всегда будет положительным. Значит, получаем:
(б+7)-(б-5)+6б=б+7-б+5+6б=6б+12 или 6(б+2)
Вас заинтересует
2 года назад
2 года назад
3 года назад
3 года назад
8 лет назад
8 лет назад