ПОМОГИТЕ ПЖ С РЕШЕНИЕМ!!!, ЖЕЛАТЕЛЬНО С ОБЪЯСНЕНИЕМ
Приложения:

khusanovarobia19:
отметь пожалуйста лучший ответ
Ответы
Ответ дал:
1
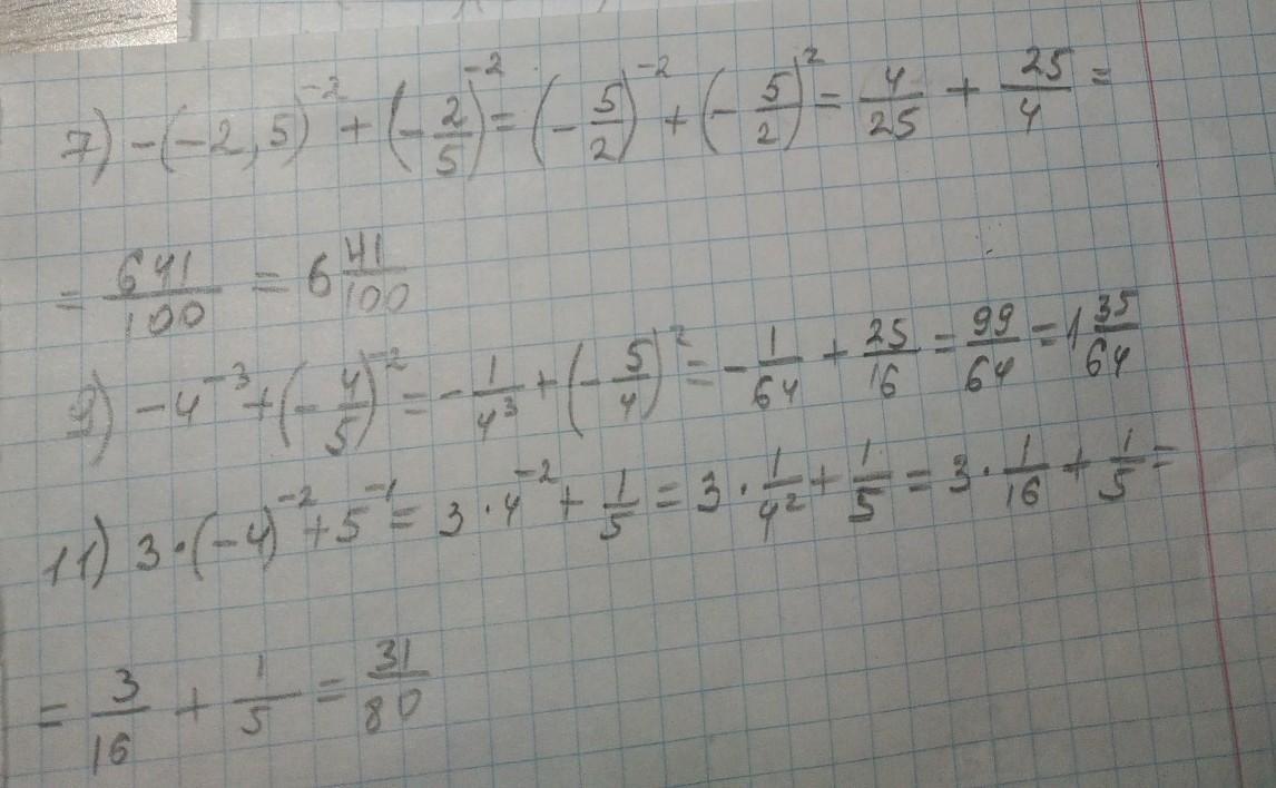
Объяснение:
отметь пожалуйста лучший ответ и лайкни
Приложения:

Вас заинтересует
3 года назад
3 года назад
8 лет назад
9 лет назад
9 лет назад