• Предмет: Алгебра
  • Автор: mysticstylez
  • Вопрос задан 8 лет назад

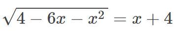
Помогите решить, на картинке

Приложения:

Ответы

Ответ дал: Outsider02
0

Ответ:

х=-1

Объяснение:

 \sqrt{4 - 6x - x {}^{2} }  = x + 4 \\ 4 - 6x - x {}^{2}  = (x + 4) {}^{2}  \\ 4 - 6x - x {}^{2}  = x {}^{2}  + 8x + 16 \\  \\  - x {}^{2}  - 6x + 4 - x {}^{2}  - 8x - 16 = 0 \\  - 2x {}^{2}  - 14x  - 12 = 0 \\  - x {}^{2}  - 7x - 6 = 0 \\ x =  \frac{7 +  -  \sqrt{( - 7) {}^{2} - 4 \times ( - 1) \times ( - 6) } }{ - 2}  \\ x =  \frac{7 +  -  \sqrt{25} }{ - 2}  \\ x1 =  \frac{7 + 5}{ - 2}  \\ x1 =  - 6 \\ x2 =  \frac{7 - 5}{ - 2}  \\ x2 =  - 1

х1= -6, не подходит, т.к.

√4-6•(-6)-(-6)² = -6+4

√4+36-36 = -2

√4 ≠ -2

Вас заинтересует