• Предмет: Математика
  • Автор: Barinpro
  • Вопрос задан 8 лет назад

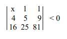
Помогите решить матричное неравенство

Приложения:

Ответы

Ответ дал: DNHelper
1

Ответ:

x<\dfrac{8}{9}

Пошаговое объяснение:

Слева записан определитель некоторой матрицы. Посчитаем его:

\Delta =x\cdot5\cdot81+1\cdot9\cdot16+1\cdot4\cdot25-16\cdot5\cdot1-81\cdot4\cdot1-25\cdot9\cdot x=\\=180x-160

Получаем неравенство:

180x-160<0|:20\\9x<8\\x<\dfrac{8}{9}

Вас заинтересует