• Предмет: Алгебра
  • Автор: elenagilbertsal
  • Вопрос задан 8 лет назад

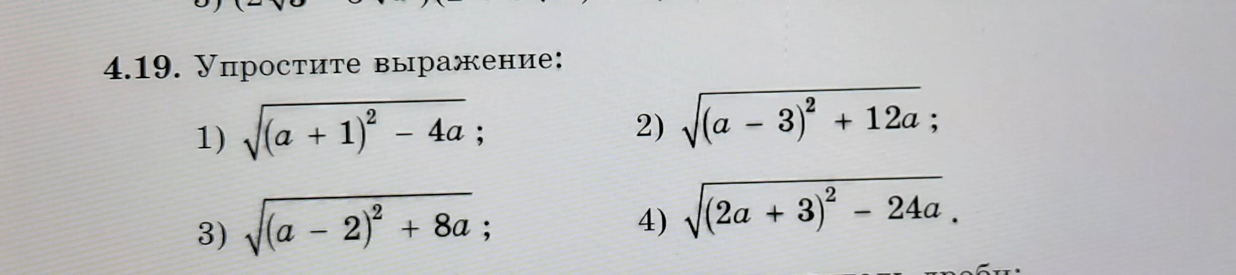
4.19. Упростите выражение:

Приложения:

Ответы

Ответ дал: lzigulskaa4
3
1)а-1. 2)13а-3. 3)а+2. 4)-22а+3
Ответ дал: larisaserova53
2

Ответ:

Смотри решение на фото выше

Приложения:

elenagilbertsal: спасибо большое
Вас заинтересует