Ответы
Ответ дал:
2
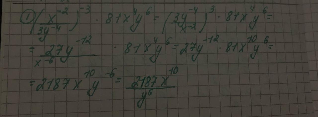
Ответ приведен в приложении.
Приложения:


Kokuhibo:
здравствуйте можете мне пожалуйста помочь с алгеброй
Вас заинтересует
2 года назад
3 года назад
3 года назад
8 лет назад
8 лет назад
9 лет назад