Помогите, пожалуйста! 100 баллов
21 вариант
Приложения:

Ответы
Ответ дал:
1
Ответ:
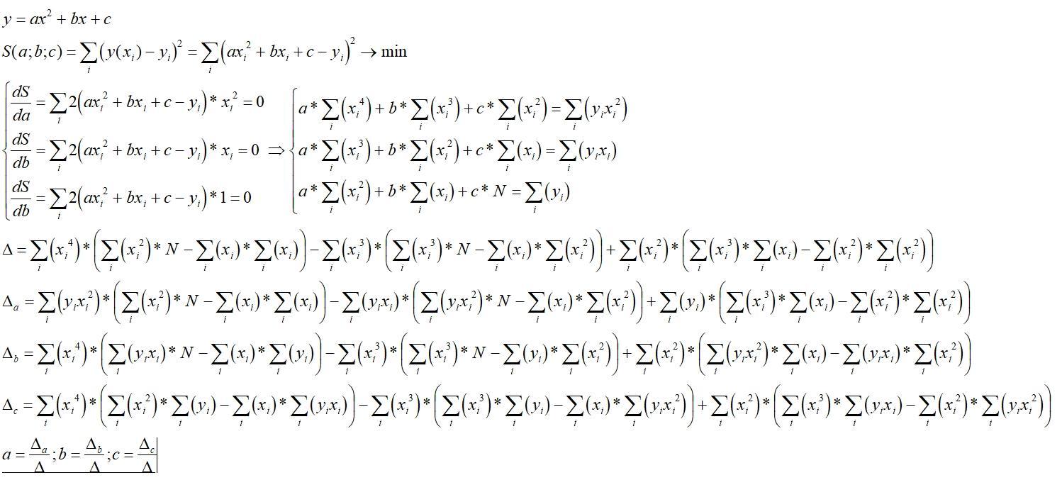
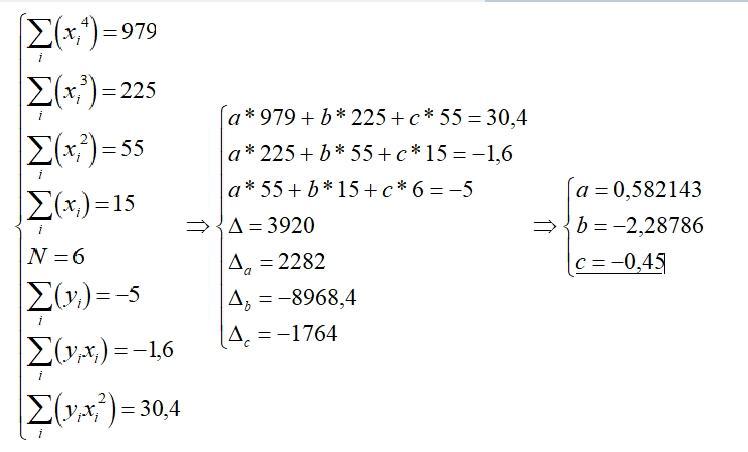
работы выполнил много, потратил около 2 часов времени,
все расчеты также приложены в экселевском файле, и легко могут быть использованы для любого из нечетных вариантов. график сам перерисуется
изменять только зеленые ячейки
в желтых расчетные данные
Объяснение:
Приложения:




Вас заинтересует
2 года назад
2 года назад
3 года назад
3 года назад
8 лет назад
9 лет назад
возьму ровно столько, сколько не жалко.
(вы задали 6 одинаковых вопросов и потратили 600 балов)
если считаете достаточно одного - на том и остановимся