• Предмет: Математика
  • Автор: eheelady
  • Вопрос задан 8 лет назад

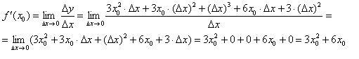
Что здесь сократилось ?

Приложения:

Ответы

Ответ дал: nikniklas
0

Ответ:

в первой дроби поделили на Δх каждый член. Далее, поскольку, Δх стремится к нулю все произведения с ним также равны нулю и их убрали.

Пошаговое объяснение:

Вас заинтересует