• Предмет: Математика
  • Автор: TheTumyp
  • Вопрос задан 8 лет назад

Задача такая
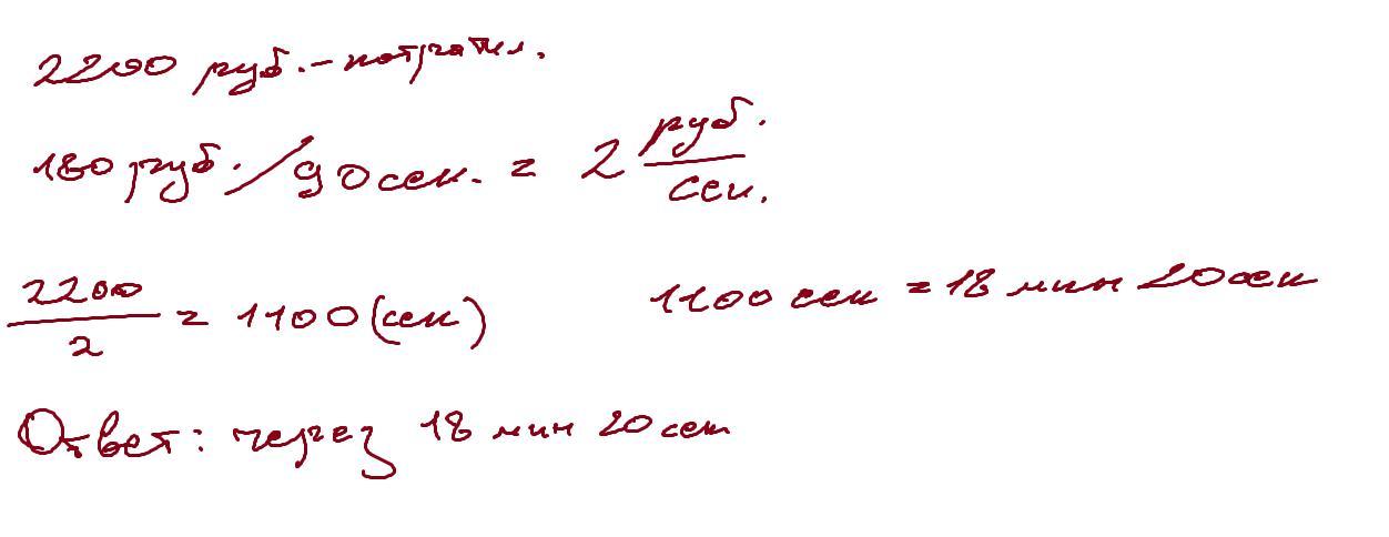
Ты можешь потратить на предмет 2200 рублей и он будет давать тебе 180 рублей раз в 90 секунд.
Вопрос через сколько минут этот предмет окупится

Ответы

Ответ дал: skala
2

Ответ:

Фото

Пошаговое объяснение:

Отметьте пожалуйста как лучший

Приложения:
Вас заинтересует